Welcome to the Machine
Episode Five of the QCAT Series - The “Directions”, Or: The Machine Issues Orders To Nobody In Particular
Episode Five of the QCAT Series
A preliminary note on the material that follows. The correspondence and documentation reproduced and discussed in this instalment was sent to me in circumstances where the statutory preconditions for commencing a valid proceeding have not been met. No jurisdiction has been established, and no adjudicative authority has been enlivened. In that context, the material constitutes administrative communication with a private individual rather than material generated within a valid proceeding. It is disclosed solely for public-interest transparency regarding the administrative handling of this matter.
I want that statement on the record, prominently, before we proceed. Because what follows is a description of a tribunal issuing what it calls “directions” in a matter that, in any legal sense that survives scrutiny, does not exist.
There is something almost admirable about the confidence of a bureaucratic machine that has lost its legal footing but has not yet noticed. It continues to issue paper. It continues to set deadlines. It continues to address parties, schedule hearings, and require compliance with directions as though the entire apparatus rests on solid ground rather than on a foundation of unresolved jurisdictional failures, any one of which would be sufficient to stop the proceeding in its tracks, and all of which remain entirely unaddressed.
On 23 October 2025, Member Lumb of the Queensland Civil and Administrative Tribunal issued what the Tribunal characterises as a “Decision and Directions” in matter ADL079-25, styled as KN versus Fraser Anderson. The document is four pages long. It is signed and sealed. It has the full institutional weight of the Queensland Civil and Administrative Tribunal behind it, or at least the full institutional appearance of that weight.
What it does not have is jurisdiction. And in the absence of jurisdiction, everything that follows from it, the “directions”, the “orders”, the deadlines, the requirements, the scheduled hearings, the entire procedural architecture, exists in a kind of administrative dreamscape. I will use inverted commas throughout this instalment when referring to these things, not from pedantry, but because precision matters. These are not directions in any legally operative sense. They are instructions issued by a body that has not established its authority to issue them, in a proceeding that has not been lawfully commenced, against a respondent who was never lawfully served.
What the “directions” document reveals
The document opens with a “decision” that the applicant’s identity be anonymised until further order, pursuant to sections 191(1) and 191(3)(a) of the Anti-Discrimination Act 1991 (Qld), and that disclosure of the applicant’s identity or details of the referral which would tend to identify the applicant is prohibited.
The applicant is identified throughout as KN. Those who have followed this series from the beginning will understand why. Adrian Buckley has been granted a pseudonym by a tribunal that, on my submission, has no authority to grant anything at all in this matter. I note the irony without dwelling on it.
I will also note, because it is directly relevant to the broader analysis of this series, that Member Lumb refers to KN throughout the document using female pronouns. She, her. I observe this not to make a point about the Member’s personal views, but because it is a matter of factual record. Adrian Buckley is a biological male. The correct pronouns are he, him, his. The Tribunal’s adoption of Buckley’s preferred pronouns in formal judicial documentation is itself a small illustration of the degree to which the language and assumptions of gender identity activism have penetrated the administrative apparatus that is supposed to adjudicate these matters impartially.
Three claims where previously there was one
Here is where the “directions” document becomes particularly interesting, and where the gap between what was referred from the QHRC and what is now being advanced before QCAT becomes impossible to ignore.
The QHRC referral was, in substance, a vilification complaint. That is what Buckley took to the Commission. That is what the Commission accepted and referred. But the “directions” issued by Member Lumb on 23 October 2025 require Buckley to file a Statement of Contentions addressing three separate heads of claim: vilification, victimisation, and sexual harassment.
Sexual harassment. Let that sit for a moment.
I have been wracking my memory and my files for any indication that a sexual harassment complaint was made to the QHRC, was part of the referral, or was in any way foreshadowed before it appeared as a heading in these “directions.” I cannot find one. The sexual harassment claim appears to have materialised somewhere in the administrative passage between the QHRC and QCAT, or to have been added at the point of filing, without the kind of scrutiny that a merit-based filter would have applied.
The victimisation claim I have addressed in earlier instalments. It is, on the material available, constructed around a single act: my publication of a scanned image of the QHRC complaint. The causal nexus is asserted rather than established, the detriment is not independently particularised, and the claim as subsequently pleaded by NRF in the Statement of Facts and Contentions does not survive contact with the statutory test. But at least it has a traceable origin in the proceedings.
The sexual harassment claim does not. Or if it does, that origin has not been disclosed to me. Which brings me to what the “directions” document actually required Buckley to do about it.
What the Tribunal required Buckley to disclose
Direction 1 of the document is detailed and specific. It requires Buckley to file a Statement of Contentions of no more than five pages, addressing each of the three heads of claim with particularity. The requirements for each head are set out at some length.
For victimisation, Buckley is required to identify the alleged act, particularise how it was to his detriment, and explain the reason for the alleged act by reference to section 130(1) of the Act. He is required to state whether the alleged detriment arises because he refused to do an act that would contravene the Act, alleged that someone committed such an act, or was involved in proceedings under the Act. The causal nexus, in other words, is not left to assertion. The Tribunal required it to be pleaded with specificity.
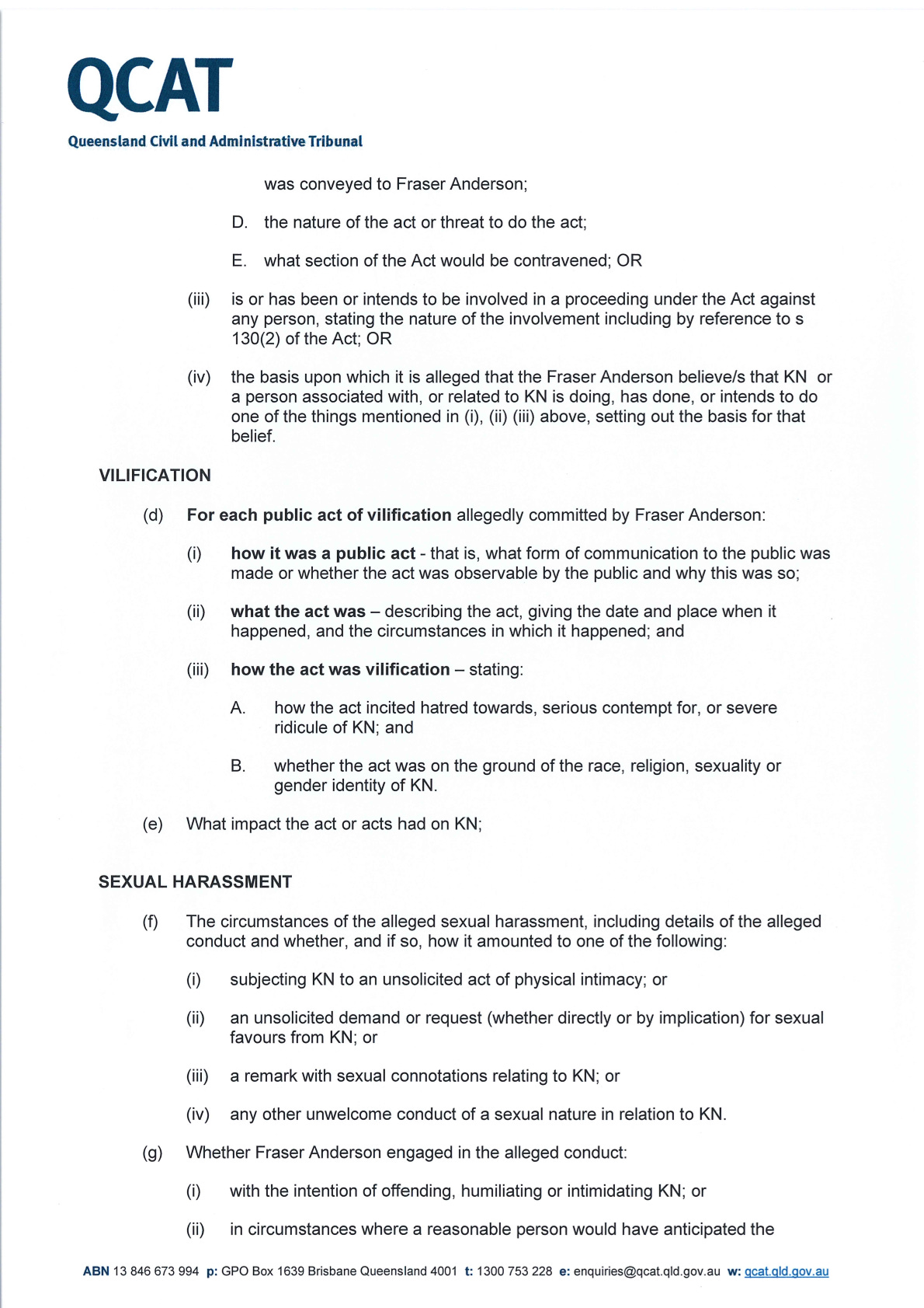
For vilification, Buckley is required to address each alleged public act individually, explaining how it was a public act, what the act was, and, critically, how the act was vilification. That last requirement is further broken down into two components: how the act incited hatred, serious contempt or severe ridicule of KN, and whether the act was on the ground of race, religion, sexuality or gender identity. The Tribunal has, in other words, asked the question that the QHRC never required Buckley to answer: how, specifically, does each act meet the statutory test?
I note this with some interest. The Tribunal’s own “directions” identify the incitement analysis as a required element of the pleading. The Statement of Facts and Contentions subsequently filed by NRF does not provide it, as I demonstrated in the previous instalment. The Tribunal directed it. NRF ignored the direction. The machine continued regardless.
For sexual harassment, the “directions” are equally specific. Buckley is required to set out the circumstances of the alleged conduct and establish how it falls within one of the defined categories under the Act: an unsolicited act of physical intimacy, an unsolicited demand for sexual favours, a remark with sexual connotations, or any other unwelcome conduct of a sexual nature. He is further required to address whether I engaged in the conduct with the intention of offending, humiliating or intimidating him, or in circumstances where a reasonable person would have anticipated that possibility.
And then, at direction 1(h), the Tribunal requires Buckley to address the circumstances which, in his view, indicate that a reasonable person would have anticipated the possibility that he would be offended, humiliated or intimidated, including, among other things, his sex.
His sex. The Tribunal has directed Buckley to disclose and particularise his sex as a relevant circumstance in the sexual harassment analysis.
This is not a trivial matter. The question of Buckley’s sex, as distinct from his gender identity, is one of the central unresolved questions in this proceeding, and one that Buckley’s own public posts have made considerably more complicated than a straightforward pleading might suggest. I have addressed in earlier instalments Buckley’s public repudiation of the term “gender identity” in favour of “sex identity,” and what that repudiation does to the statutory foundation of the vilification claim. The sexual harassment claim adds a further dimension, because sexual harassment under the Act requires engagement with the sex of the person harassed, and Buckley’s sex, on his own publicly stated account, is not the sex he claims as his gender identity.
The Tribunal directed him to address this. The Statement of Facts and Contentions filed by NRF did not address it. The sexual harassment claim appears in the damages paragraph of the SFC as a label attached to a list of consequences, without a single line of pleading in support of it.
The respondent’s obligations, and the absence of lawful authority to impose them
Direction 2 requires me to file a response to Buckley’s Statement of Contentions of no more than five pages, by 4:00 pm on 18 December 2025. Direction 3 requires Buckley to file statements of evidence by 5 February 2026. Direction 4 requires me to do the same by 12 March 2026. Direction 5 requires Buckley to file material in reply by 26 March 2026. Directions 8 and 9 list the matter for a further directions hearing and then a Tribunal hearing on dates to be advised.
This is a complete procedural timetable for a hearing that, on my submission, cannot lawfully take place. It was issued on 23 October 2025, approximately one month after the referral from the QHRC was filed, without any examination of the jurisdictional objections I had raised and would raise formally. It proceeded on the assumption that the matter was properly before the Tribunal, that I had been lawfully served, that the constitutional bar under Burns v Corbett did not apply, and that the statutory preconditions for each of the three heads of claim had been met.
None of those assumptions is correct. Not one of them.
The “directions” are, in that sense, an almost pure expression of the machine’s operating logic. The referral arrives. The file is opened. The member issues a timetable. The parties are directed to comply. The question of whether any of this is legally authorised is not asked, because the machine does not have a mechanism for asking it at this stage. It has a mechanism for processing referrals. It is processing one.
I use inverted commas around “directions” not to be dismissive of the individuals involved, but to be accurate about their legal status. A direction issued without jurisdiction is not a direction. It is a request dressed in official language, sent by a body that believes it has authority it has not established, to a person it has not lawfully served, in a proceeding it has not lawfully commenced.
I am publishing it in full, in the public interest, so that anyone else who receives similar documentation from a similar process understands what they are actually looking at.
What the document does not contain
Before I close this instalment, I want to note what is absent from the 23 October “directions” document, because the absences are as instructive as the contents.
There is no reference to the service failure. The document proceeds as though service of the originating application was effected and is not in dispute.
There is no reference to the Burns v Corbett constitutional bar. The document proceeds as though the interstate residency issue does not exist.
There is no reference to the section 140 Queensland nexus requirement. The document proceeds as though the question of whether the alleged conduct can be anchored to Queensland jurisdiction with the required particularity has been answered.
There is no reference to any jurisdictional foundation for the sexual harassment claim, or to how or when that claim came to be part of the proceedings, or to whether it was included in the original QHRC referral.
These are not omissions attributable to the brevity required of a directions document. They are omissions that reflect a system in which the preconditions for jurisdiction are assumed rather than established, in which the referral from the QHRC is treated as sufficient foundation for proceeding, and in which the respondent is expected to comply with an elaborate timetable before anyone pauses to ask whether the Tribunal has the authority to impose it.
I did not comply with the timetable. I raised the jurisdictional objections. The machine issued more “directions.”
That is the subject of the next instalment.
What comes next
In the next instalment I will examine the procedural sequence from October 2025 to the point at which NRF entered the proceedings without leave, and what the accumulation of “directions”, “orders”, “stay applications” and “recusal motions” in a jurisdictionally void proceeding reveals about the design of the system and the strategy of those operating it.
The documents are published. The “directions” are on the record. The jurisdictional objections were raised and were not answered.
The public paid for this process. The public is entitled to see every word of it.
All documentation from the author’s own QCAT matter is published in full and in the public interest. The public paid for this process. The public is entitled to see every word of it.





